Übungen
Klicke auf einen Schalter, um die Aufgabe zu öffnen!
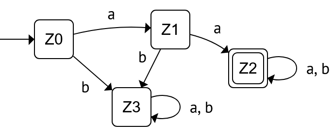
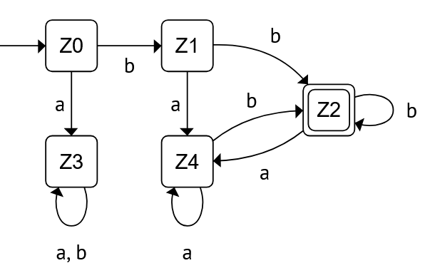
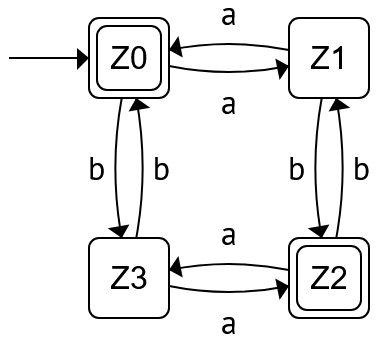
Welche Sprachen werden durch die abgebildeten Zustandsgraphen definiert? Beschreibe umgangssprachlich und gib den passenden regulären Ausdruck ein!
Zeichne zu allen Sprachen das passende Syntaxdiagramm!
| Nr. | Zustandsgraph | regulärer Ausdruck |
|---|---|---|
| A | ![]() |
|
| B | ![]() |
|
| C | ![]() |
|
| D | ![]() |
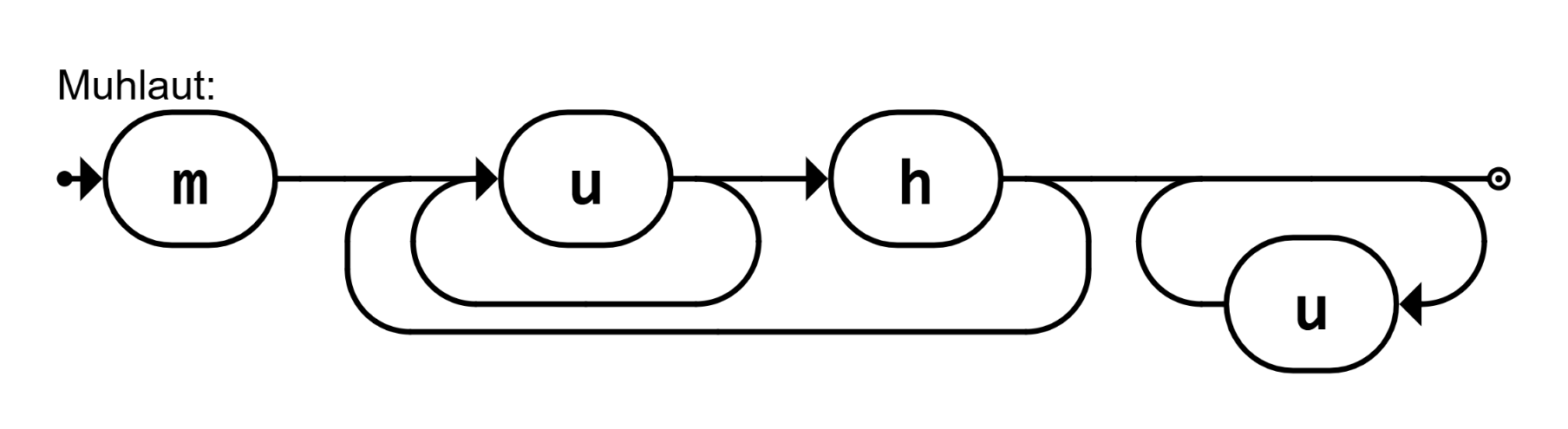
Erstelle einen Akzeptor, der Muh-Laute gemäß dem folgenden Syntaxdiagramm erkennt.
Formuliere hier zunächst den passenden regulären Ausdruck und teste
deinen Akzeptor am Schluß mit den aufgeführten Beispielen.
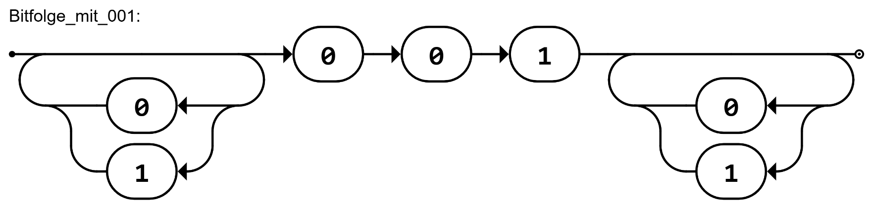
Erstelle einen Akzeptor, der Wörter erkennt, in denen die Bitfolge 001 vorkommt.
Formuliere hier zunächst den zum Syntaxdiagramm passenden regulären Ausdruck und teste
deinen Akzeptor am Schluß mit den aufgeführten Beispielen.
Erstelle Akzeptoren für die A-B-Sprache, die wie folgt arbeiten:
- Nichts wird akzeptiert.
- Nur das leere Wort (Länge 0) wird akzeptiert.
- Alle Wörter werden akzeptiert.
Die folgende Automatentafel gehört zu einem Akzeptor mit Z = {Z0, Z1, Z2, Z3, Z4} und Ze = {Z3}. Erstelle in der Simulation den Akzeptor, teste ihn und gib im Anschluß die Sprache des Akzeptors als regulären Ausdruck an!
Regulärer Ausdruck:
Bei der Datenübertragung werden häufig Prüfbits eingesetzt. Ein einfaches Verfahren hierbei ist das Paritätsbit. Bei diesem Verfahren wird nach einer bestimmten Zahl von Datenbits ein Bit angehängt, um z.B. die Anzahl der Einsen gerade zu machen.
In dieser Aufgabe soll nach drei Datenbits immer viertes Bit als Prüfbit angehängt sein. An die Bitfolge "001" (ungerade Anzahl 1er) würde eine "1" angehängt und an die Bitfolge "110" (gerade Anzahl 1-er) eine "0".
Beispiele: 0000, 1100, 11110011, 101000111001.
Gegenbeispiele: 1110, 0001, 111100001110, 110.
Erstelle einen Akzeptor, der eine Bitfolge einliest und nur dann akzeptiert, wenn alle Prüfbits korrekt sind (und die Folge mit einem Prüfbit endet).
Erstelle einen Akzeptor für E-Mail-Adressen. Die Adressen sollen nach folgendem regulären Ausdruck aufgebaut sein:
b+(.b+)*@b+.bbb?



